Forrige tråd
Neste tråd
Print tråd

Planforslag for byfjellene i Bergen

Planforslag for byfjellene i Bergen #456572 01/10/2007 13:47
Registrert: Jul 2007
Innlegg: 109
C
cfuru Offline OP
Tørr bak øra
OP Offline
Tørr bak øra
C
Registrert: Jul 2007
Innlegg: 109
Starter denne tråden for å følge opp tidligere tråder angående emnet og samle litt info på ett sted.

Engasjementet rundt sykling i byfjellene virker å være stort blant bergensere her på forumet. Eksisterende forbud i noen områder er det trolig lite man kan gjøre med per dags dato, men å arbeide for å unngå framtidige forbud er helt klart mulig og viktig. Grønn etat og byfjellsforvalter Jan Robert Brandsdal skal komme med planforslag for flere områder i tiden framover. Jeg sendte en mail og fikk denne tilbakemeldingen;

"Grønn etat (jeg) utarbeider nå forslag til forvaltningsplan for Smørås, Hamrefjellet og Stendafjellet. Planforslag skal foreligge i løpet av høsten og da sendes ut på høring. Planforslaget kan foreslå regulering av ferdsel i området. Dersom planen blir vedtatt i bystyret med forslag om regulering av ferdsel, f.eks sykling, må det i ettertid utarbeides forslag til forskrift som må stadfestes av fylkesmannen.

Det skal senere utarbeides forvaltningsplaner for fjellområdene i Åsane, Gullfjellet og Fanafjellet."

Når dette kommer ut på høring vil det bli kunngjort i pressen (kommunetorget i BT og BA) og på internet.

Hva bør og skal skje videre i Bergen? Hvordan er framdriften for lokallag av NOTS? Som jeg nevnte i en annen tråd er det sikkert best at denne saken blir håndtert av et slikt lokallag. Å ha en positiv dialog med Bergen kommune i disse sakene er garantert verdifullt for framtidige saker. Å unngå nye forbud og til og med legge bedre til rette for sykling enkelte steder bør være et mål.

Noen som har ideer og tanker rundt dette?

Re: Planforslag for byfjellene i Bergen [Re: cfuru] #456580 01/10/2007 13:58
Registrert: Jul 2007
Innlegg: 342
YnotGorilla Offline
Entusiast
Offline
Entusiast
Registrert: Jul 2007
Innlegg: 342
Hola,
Fint du tar opp tråden.
Har snakka med Are(leder) i NOTS, vi venter bare på at de skal få hatt et styremøte og vedta å åpne lokallag i Bergen, så kan vi ha et stiftelsesmøte og sette igang å arbeide.

Det er ganske vanskelig å orientere seg på Bergen Kommunes nettsider, og jeg har leita lenge etter frister.
Det foreslå å forby sykling i terreng på Smøråsfjellet, og det er allerede forbudt enkelte steder på Fløyen. Smøråsfjellet må vi få gjort noe med, og jeg tror det skal være mulig å få aksept for å bruke lysløypa på Fløyen til sykling, forbudet er jo bare tuftet på uvilje fra veteraner i diverse lag...

Det er ikke så mye som må gjøres, vi må lage høringsuttalelser og gjerne komme med utspill i media for å få litt sympati, samt invitere til samarbeid om vedlikehold av stier.

En holdningskampanje med Stivettreglene og få synliggjort disse i miljøet og klubbene bør vi også på sikt få til.

T

Re: Planforslag for byfjellene i Bergen [Re: YnotGorilla] #456585 01/10/2007 14:07
Registrert: Jul 2007
Innlegg: 109
C
cfuru Offline OP
Tørr bak øra
OP Offline
Tørr bak øra
C
Registrert: Jul 2007
Innlegg: 109
Veldig enig i det du sier. En holdningskampanje hadde vært glimrende. Stille opp på Fløyen og møte folk ute på tur kanskje? Både syklister og gående.

Det du sier om aksept i lysløypen er absolutt ikke umulig. Jeg tenkte på det samme i sted. Med litt godt arbeid i andre saker og seriøs "framtoning" må det være mulig å få tatt opp slike forbud til ny vurdering.

Når det gjelder fristen for høring så tror jeg at det beste er å sjekke BT og BA, samt at man kan kontakte Grønn etat med jevne mellomrom for å høre om det skjer noe. Skal få dem til å forklare bedre hvor på nettsiden infoen blir lagt ut.

Re: Planforslag for byfjellene i Bergen [Re: cfuru] #456912 01/10/2007 23:34
Registrert: May 2007
Innlegg: 118
fevil Offline
Tørr bak øra
Offline
Tørr bak øra
Registrert: May 2007
Innlegg: 118
Veldig bra initiativ! Jeg stiller gjerne opp om det er noe jeg kan bidra med. Vi kan ikke finne oss i å bli kjeppjaget fra de beste områdene i byen..

Re: Planforslag for byfjellene i Bergen [Re: fevil] #456914 01/10/2007 23:57
Registrert: Jun 2007
Innlegg: 909
Bare meg Offline
Ringrev
Offline
Ringrev
Registrert: Jun 2007
Innlegg: 909
Støtter denne saken 110%

Re: Planforslag for byfjellene i Bergen [Re: Bare meg] #456921 02/10/2007 04:20
Registrert: Sep 2007
Innlegg: 4
L
lafalott Offline
Nytt medlem
Offline
Nytt medlem
L
Registrert: Sep 2007
Innlegg: 4
Etter å ha sett utviklingen på Smørås og Apeltun de siste årene vil det overraske meg om det taes en gjennomtenkt avgjørelse rundt bruken av Smøråsfjellet. Byggeskikken på apeltun og planene på Nøttveit forteller meg at det er planleggeren fra 80-tallet i Loddefjord som er på ferde. Pengene rår og det må du regne med det gjør når det gjelder "Smøråsfjellets Rieber Venner" også. Understreker nok en gang at det har vært gjort en stor innsats her oppe med turområdene, all ære til pensjonistene her. Men å lære folk som er vokst opp med Svithun sykler med kurv på styret, hva sykling i terrenget er er fånyttes. La grunneierne si det de mener så blir det nok masse sykler her oppe. Kanskje vi kan lage sykkelheis til Svithun folket a.la trondheim. Sånn at de kan ta med seg kurvene opp på Bjørneren......

Re: Planforslag for byfjellene i Bergen [Re: lafalott] #456994 02/10/2007 07:07
Registrert: Jul 2007
Innlegg: 109
C
cfuru Offline OP
Tørr bak øra
OP Offline
Tørr bak øra
C
Registrert: Jul 2007
Innlegg: 109
Man kan jo ikke gi opp uten å prøve. Bergen er preget av kortsiktige, dårlige planer om raske penger ja, men at dette skal påvirke planforslag for byfjellene tror jeg er et bomskudd. Byfjellene har en spesiell posisjon i Bergen. Det har man sett i byggesaker. Mener at noen utbyggere ville bygge oppover Damsgårdsfjellet på Lyngbøsiden men at dette forslaget ble avvist av kommunen. Fylkeskommunen kommer kanskje også inn i bildet og de ser ut til å satse på en miljøprofil. Det som blir litt spennende er å se hvem som blir byråd med ansvar for idrett. Det er vel den byråden vi må henvende oss til. Krysser alle fingrene for at det ikke blir Lisbeth Iversen, noe som faktisk er foreslått.

Uansett, det er tåpelig å stå på sidelinjen og se vedtak bli fattet bare for å syte og være uenig etterpå. Man må på banen og prøve å gjøre noe.

Re: Planforslag for byfjellene i Bergen [Re: lafalott] #457581 02/10/2007 23:14
Registrert: May 2007
Innlegg: 118
fevil Offline
Tørr bak øra
Offline
Tørr bak øra
Registrert: May 2007
Innlegg: 118
Sitat: lafalott
Men å lære folk som er vokst opp med Svithun sykler med kurv på styret, hva sykling i terrenget er er fånyttes.
ICON_LAUGH

Re: Planforslag for byfjellene i Bergen [Re: fevil] #458060 03/10/2007 17:49
Registrert: Sep 2007
Innlegg: 4
L
lafalott Offline
Nytt medlem
Offline
Nytt medlem
L
Registrert: Sep 2007
Innlegg: 4
Hva med "fire turgåere i bredden forbudt!" skilt......

Re: Planforslag for byfjellene i Bergen [Re: lafalott] #458590 04/10/2007 14:46
Registrert: Jul 2007
Innlegg: 342
YnotGorilla Offline
Entusiast
Offline
Entusiast
Registrert: Jul 2007
Innlegg: 342
Hovedproblemet er mengde bruk, og den ønsker man jo å øke....

Re: Planforslag for byfjellene i Bergen [Re: YnotGorilla] #459213 05/10/2007 14:20
Registrert: Sep 2007
Innlegg: 4
L
lafalott Offline
Nytt medlem
Offline
Nytt medlem
L
Registrert: Sep 2007
Innlegg: 4
For å komme til grunnlaget i denne saken. Hvorfor? Hvorfor skal sykler være forbudt?

Re: Planforslag for byfjellene i Bergen [Re: lafalott] #459216 05/10/2007 14:36
Registrert: Jul 2007
Innlegg: 109
C
cfuru Offline OP
Tørr bak øra
OP Offline
Tørr bak øra
C
Registrert: Jul 2007
Innlegg: 109
Det er klart det må gjøres et "lite" arbeid før man tar møter og samtaler med f.eks. kommunen. Som YnotGorilla sier, mengden bruk spiller inn. Kanskje det må kartlegges hvor mange syklister det er snakk om? En telling på tre dager i uken inkl. helg kan muligens bringe på det rene hvor mange som faktisk sykler i et område.

Som du sier lafalott, hvorfor skal sykling være forbudt i disse områdene? Jeg syns at det først og fremst er de som ønsker forbud og innfører dette som må bevise at årsakene til forbudet har noen som helst rot i virkeligheten. Det har de helt sikkert store problemer med å gjøre og dytter dette over på syklistene som må bevise at de ikke gjør så mye skade som påstått. Det blir etter min mening helt feil å gjøre det slik. Forbudet kommer før man i det hele tatt har kartlagt de påståtte problemene.

Det blir sikkert viktig for sykkelmiljøet å vise til positive sider ved at sykling er tillatt i disse områdene. Helse, aktivitet for unge (ikke alle spiller ballspill), sosialt osv. Det bør vel også vektlegges at miljøet vil bidra med vedlikehold av stier.

Hvis man så får slengt tilbake at "dere har jo så mange andre steder å sykle" så må man ha argumenter for hvorfor sentrumsnære områder er viktige. Lett tilgjengelig for stor andel av befolkningen osv.

Hvis Bergen ender opp med forbud mot sykling i mange populære områder så må det reises krav om et område der man kan legge ekstra godt til rette for dere. At man rydder stier og lager løyper tilpasset sykkel. At området er primært for sykkel men at andre kan ferdes "på eget ansvar" hvis dere skjønner hva jeg mener.

Det er klisjeer på rekke og rad, men man må være inkluderende, forståelsesfull, samarbeidsvillig og villig til å inngå kompromiss for å få til noe i Bergen.

Leste forresten i Fanaposten at det jobbes med å lage lysløype i Hordnesskogen. Noe som vet mer om dette? Det er bare 500 meter unna meg og jeg liker meg på grusstiene der når det er få eller ingen andre der. http://www.fanaposten.no/nyhet.cfm?nyhetid=1571

Re: Planforslag for byfjellene i Bergen [Re: cfuru] #459259 05/10/2007 16:19
Registrert: Jul 2007
Innlegg: 342
YnotGorilla Offline
Entusiast
Offline
Entusiast
Registrert: Jul 2007
Innlegg: 342
Hei,
Ta en titt på IMBA`s sider så finner du en gjennongang av alle vitenskaplige forsøk som er gjort mhp. fotturistsitasje og syklistlitasje. De fleste forsøk viser ingen/liten forskjell, et forsøk viser mindre slitasje med hjul, et visere dypere/verre slitasje med støvler. Dette varier etter forhold og målekriterier. Syklister kan også krysse områder som en fotgjenger ville gått rundt og utvidet stien.
Når det gjelder sosiologiske studier finner du også litt fotturisters holdning til syklister kontra hva de opplever når de faktisk møte syklister.

NOTS tar opp saken om lokallag på møte til uka, og jeg foreslår derfor at vi tar et oppstartsmøte her i Bergen påfølgende uke. Det står ingenting i statuttene om lokallag så foreløpig utnevner NOTS en leder/talsperson som delegerer oppgaver lokalt. Det bør vel være en som har hovedansvar for lokal pressekontakt og en for kontakt med BTurlag og Grønn Etat, og ellers kanskje ne som følger litt med for hvert "nærområde". Om det er noen innfødte som har lyst til å stille som lokallagsleder så send en mail til kontakt@NOTS.no asap
God Helg!
Tony

Re: Planforslag for byfjellene i Bergen [Re: YnotGorilla] #459278 05/10/2007 16:59
Registrert: Jul 2007
Innlegg: 342
YnotGorilla Offline
Entusiast
Offline
Entusiast
Registrert: Jul 2007
Innlegg: 342
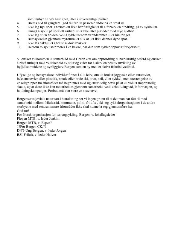
Vedlagt er utkast til leserbrev til BT, dette bør vi få på trykk så snart vi har opprettet NOTS Bergen og fått kontakt med Grønn Etat og turlaget.
Så langt har Bergen MTB, Fløien MTB, BT-Ung, og BSI-friluft uttalt seg positivt til å være med, har ikke fått tilbakemelding fra BCK.
T

Vedlegg
18329-bergenssykling_s2.jpg (66.6 KB, 65 nedlastinger)
18330-bergenssykling.jpg (134.61 KB, 61 nedlastinger)
Re: Planforslag for byfjellene i Bergen [Re: YnotGorilla] #459281 05/10/2007 17:06
Registrert: Jul 2007
Innlegg: 342
YnotGorilla Offline
Entusiast
Offline
Entusiast
Registrert: Jul 2007
Innlegg: 342
Det enkelttiltaket som ville redusert slitasjen på byfjellene mest ville selvfølgelig væra å stoppe 7-fjellsturen(tm), den ene dagen i året da tusener av lokalpatrioter tråkker ned fjellene...
Et vedtak som aldri ville gått igjennom.
T

Re: Planforslag for byfjellene i Bergen [Re: YnotGorilla] #459294 05/10/2007 17:39
Registrert: Jul 2007
Innlegg: 109
C
cfuru Offline OP
Tørr bak øra
OP Offline
Tørr bak øra
C
Registrert: Jul 2007
Innlegg: 109
Veldig bra leserbrev. Godt skrevet.
Og takk for info om de undersøkelsene/forsøkene som er gjort.

Droppe 7-fjellsturen ja ICON_SMILE. Skjønner hva du mener.

Lurer på hva tilhengere av forbudet frykter? Ser de for seg tusenvis av syklister som erobrer fjellene?

Håper noen lokale sykkelguruer med stort engasjement påtar seg oppgaven å jobbe med dette.

Re: Planforslag for byfjellene i Bergen [Re: cfuru] #459308 05/10/2007 18:13
Registrert: Apr 2007
Innlegg: 1,445
Laban Offline
Veteran
Offline
Veteran
Registrert: Apr 2007
Innlegg: 1,445
Er såpass heldig at jeg aldri har møtt noen som er negativ til sykkel i fjellene eller på stier rundt i Bergen. Møtte idag penti av hyggelige folk på Løvstakken, ingen som hadde noe negativt og si.

Tror det er en del som har litt ubegrunnet "fordommer" mot sykkel i terrenget, samt litt uvitenhet. At terrengsykling er forbudt på enkelte steder på fløyen pga oljesøl vitner om akkuratt dette. Et NOTS lokallag kunne gjerne kastet litt lys over dette og åpnet øynene på de som vedtar disse restriksjonene. At det i tillegg blir kastet lys på i mediene kan vise seg og være bra PR for vår del.


"You should never underestimate the predictability of stupidity."
Re: Planforslag for byfjellene i Bergen [Re: Laban] #459368 05/10/2007 19:26
Registrert: Nov 2003
Innlegg: 821
bob Offline
Ringrev
Offline
Ringrev
Registrert: Nov 2003
Innlegg: 821
Meget bra.
Flott at noen tar initiativ.
Er nok Espen Johnsen du har snakket med i Bmk, hvis du manglet etternavnet.

Litt morsomt er det at en av de mest populære rutene opp Ulriken er sykkel "stien" som er laget av syklister, for syklister, med godkjennelse av kommunen.
Skulle likt å se hva som hadde blitt sagt om fotgjengere hadde fått forbud mot å bruke den.

Re: Planforslag for byfjellene i Bergen [Re: YnotGorilla] #461190 09/10/2007 22:42
Registrert: Mar 2007
Innlegg: 2,879
mogens Offline
Besatt
Offline
Besatt
Registrert: Mar 2007
Innlegg: 2,879
Bra utkast til leserbrev.

Når det gjelder årsakene til eksisterende forbud tror jeg det bare delvis er tuftet på begrunnelser om slitasje, eller at argumentet om slitasje fungerer som et vikarierende motiv for at man ønsker å ha fjellet sykkelfritt. Eksempelvis Fløisvingene der det er sykkelforbud, her er det jo snakk om godt opparbeidet grusvei, og ikke skjør mark.

Den nedre delen av lysløypen der det ikke er sykkelforbud er jo nå forøvrig rasert og belagt med pukk og grus...

Selv har jeg blandede erfaringer med turgåere når jeg sykler i byfjellene, men flere positive enn negative. Det er alltid noen sure blikk og en og annen slengbemerkning, men har også pratet med andre, ofte godt voksne/eldre folk, som har vært positiv og kommet med turtips. Det hjelper å sakke ned og smile når man passerer...å rase forbi så steinspruten står er ikke med på å bygge opp goodwill.

Forøvrig kan det være et poeng at det ikke bare er ungdom (som kjent synonym for pøbel) som sykler på fjellet, men faktisk en del "voksne" også...jeg er 35 og ser nå av og til folk som er 10-15 år eldre enn meg som sykler på Fløien.

Edit: La oss heller ikke glemme at retten til å sykle i utmark er nedfelt gjennom allemannsretten, og at det skal finnes gyldige grunner for å kunne overstyre dette. Se paragraf 15 og 16. Hva som er gyldige grunner er vel noe åpent for tolkning, men det nevnes spesielt å "opprettholde ro og orden, verne dyre- og plantelivet og fremme helsetiltak og sanitære forhold". Dette gjelder "regulering av ferdselen på område hvor utfarten er stor". Er utfarten i lysløypene stor utenom vintersesongen? Jeg har vel knapt sett et menneske de hundretalls gangene jeg har vært der...

Redigert av mogens; 09/10/2007 22:57.

Moderator  support